Sensitive enzymatic quantification of 5-hydroxymethylcytosine in genomic DNA
21-Jul-2010
Nucleic Acids Resaerch, 2010, DOI: 10.1093/nar/gkq684, published on 21.07.2010
Nucleic Acids Research, online article
Nucleic Acids Research, online article
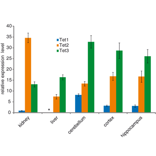
The recent discovery of genomic 5-hydroxymethylcytosine (hmC) and mutations affecting the respective Tet hydroxylases in leukemia raises fundamental questions about this epigenetic modification. We present a sensitive method for fast quantification of genomic hmC based on specific transfer of radiolabeled glucose to hmC by a purified glucosyltransferase. We determined hmC levels in various adult tissues and differentiating embryonic stem cells and show a correlation with differential expression of tet genes.











